前段时间,关于 2024 年百日咳发病上升的声音越来越多,很多家长第一反应就是自己家孩子有没有打百白破疫苗。看过疫苗小本本之后发现,孩子不仅打过百白破疫苗,还打了不止一针内心顿时踏实了点。
但是很多家长就会想:以后还要不要继续打百白破疫苗?为什么像百白破疫苗打完几针就不打了,而像流感这样的疫苗要每年打一针?疫苗的免疫程序有什么讲究吗?
免疫程序不同
大家都知道,疫苗是预防传染病(甚至近几年已经涉及非传染性疾病)的有效手段。接种疫苗后疫苗中的抗原通过激发人体的免疫系统产生相应的体液免疫和/或细胞免疫,从而抵御特定的病原体。
然而,不同疫苗的免疫程序不尽相同,一般来说疫苗的免疫程序取决于以下几个因素:
1、疫苗类型
活疫苗(如麻疹疫苗)通常只需接种 1 到 2 次就能提供长期保护,和活疫苗相比同类灭活疫苗(如甲肝疫苗、乙脑疫苗)可能需要接种更多剂次才能获得相似或者更好的免疫效果。
以我国采用的乙脑疫苗为例,如果选择接种免费的乙脑减毒活疫苗需要接种 2 针,而接种乙脑灭活疫苗则需要 4 针。
2、疾病特性
对于一些病原体会出现变异导致此前接种的疫苗免疫反应降低甚至失效,在这种情况下可能需要定期或每年接种采用新抗原制备的疫苗从而应对变异后的病原体。
比如流感病毒每年都可能因抗原蛋白突变而产生新的毒株,因此每年都要接种采用世界卫生组织推荐的新毒株制备的流感疫苗,从而获得有效的保护。
3、免疫持久性
有些疫苗(如麻疹疫苗)提供的保护可以持续多年,而有些疫苗(如百日咳疫苗)提供的保护可能随时间减弱,需要通过接种加强针来维持免疫效果。
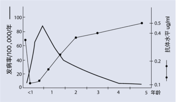
以百日咳为例浙江的一项研究显示,参与研究的人群中,1~2 岁抗百日咳毒素抗体(抗 PT IgG)阳性率最高(81.44%),此后抗体水平快速降低;10~14 岁最低(4.72%),超过 50%的 7 岁及以上人群检测不到抗体;5~59 岁人群各年龄组的抗 PT IgG 阳性率均低于 10% 。
而目前我国没有用于 6 岁及以上人群的百日咳疫苗,因此在完成儿童百白破疫苗全程接种(4 剂次)后,除了做好防护和保持免疫系统正常外,没有更好的预防方式。

麻疹、腮腺炎、水痘-带状疱疹病毒抗体的半衰期估计值。
相对的,也有一些抗体可长期存在:包括麻疹、腮腺炎、水痘在内的活疫苗接种疫苗或自然感染后产生的抗体具有极长的半衰期,因此一般来说按照完整免疫程序或者感染过相关病毒后,就能获得终身免疫。
免疫程序并非一成不变
事实上,此前无论活疫苗还是灭活疫苗大多数都要接种不止 1 剂次,这是因为多剂次接种可以提供高水平且持久的保护。
但是由于疫苗有效性证据的扩充以及不同人群的疾病风险差异,有的多剂次疫苗免疫程序也会变化,甚至只需要接种 1 剂次。
例如:
1、人乳头瘤病毒(HPV)疫苗
最初推荐三剂次接种,但对于 9-14 岁的儿童,现在只需接种两剂;而最新的研究发现,即便只接种 1 剂 HPV 疫苗也能获得持久且可靠的对 HPV 持续性感染的保护效果,因此世界卫生组织也推荐采用 1 剂次程序接种,有的地区也将 HPV 疫苗的免疫程序改为 1 剂。
2、b型流感嗜血杆菌(Hib)疫苗
由于母传抗体水平降低、Hib 感染患病率从 4 月龄开始快速升高但在 1 岁后开始下降98.3%的 Hib 脑膜炎发生在 2~12 月龄的儿童中,2 岁儿童中的发生率为 1.7%。因此 Hib 疫苗的免疫程序与年龄有关。

Hib 感染相关脑膜炎发病率和抗体水平与年龄的关系
我国现行的 Hib 疫苗免疫程序为:
2~5 月龄启动疫苗接种的儿童采用3针基础免疫+1 针加强免疫(3+1 程序);
6~11月龄启动疫苗接种的儿童采用2针基础免疫和1针加强免疫(2+1 程序);
对 12 月龄及以上儿童采用 1 针程序。
因此,疫苗的免疫程序也并非恒定不变,除了考虑病原体本身因素外,也会综合考虑疾病负担变化、成本效益等因素,但最终目的都是高效对抗疾病。
需要重新接种疫苗的特殊情况
尽管一些疫苗完成常规免疫程序已经足够,但难免会有特殊情况可能需要重新接种,例如癌症。
在最新发布的《成人癌症患者的疫苗接种:ASCO 指南》中就针对成年癌症患者需要接种或重新补种的疫苗进行了推荐,其中涉及多种需要重新接种的疫苗。

成人癌症患者推荐的疫苗信息 图片来源:《成人癌症患者的疫苗接种:ASCO 指南》
例如,患者在进行造血干细胞移植后 6-12 个月开始全面重新接种疫苗,以恢复疫苗诱导的免疫力。活疫苗应推迟至少 2 年,并且仅在没有活跃的移植物抗宿主病(GvHD)或免疫抑制的情况下接种。新冠、流感和肺炎球菌疫苗最早可在移植后 3 个月内接种。
相信科学 及时接种
无论对于儿童还是成人,接种疫苗都至关重要。而疫苗的免疫程序取决于多种因素,涉及病原体本身、疫苗工艺、卫生经济学、个体因素等,因此无论是单剂次接种疫苗还是多剂次接种疫苗,我们只需要按照疫苗说明书或相关指南建议接种即可。
需要注意的是,尽管今年我国第 38 个全国儿童预防接种日宣传主题为共同行动 接种疫苗 为全生命周期护航,但目前仍面临着两个大问题:
1、4 月 25 日的节日名称仍然叫作全国儿童预防接种日而不是全国免疫接种知晓日;
2、成年人群的预防接种体系仍未建立,难以支持全生命周期保护。
目前国内面临的问题在于,儿童免疫规划疫苗体系的优化空间在于个别疫苗免疫程序和疫苗品类,而成人预防接种体系尚未建立。
此外,一些特殊人群(如孕妇、癌症患者等)的免疫接种建议虽然已经有了国内外专业机构支持,但国内由于疫苗类别和疫苗认知等原因难以触达。
可以说,相关群体的免疫接种仍存在多项难点亟待解决。
总之,疫苗接种是预防传染病的有效手段,对个体和社区(群体)的健康都具有极高价值。随着科学的进步,疫苗的接种策略和管理方案也在不断优化。
对于普通人而言只需要做到八个字:相信科学,及时接种。
